Magnesium is the EU’s third most popular dietary supplement, with 33% of consumers having taken a magnesium supplement in the previous 12 months.¹⁻²
Key to its popularity is its ability, when taken at optimal levels, to address the cognitive wellbeing trends that are motivating today’s supplement shoppers. Products promising benefits in areas such as brain function, memory, energy, mood, cognitive ageing and sleep are all in high demand.
While magnesium can be highly effective in all these areas, there is a catch. In reality, commercially available forms in Europe can struggle to deliver meaningful cognitive benefits. This is because they do not cross the blood-brain barrier to a sufficient degree to provide the benefits consumers are seeking.
Studies have shown that this problem affects most commonly used magnesium salts, meaning they cannot effectively and significantly raise brain magnesium levels. In these studies, none of the forms evaluated demonstrated effective delivery into neuronal cells in the brain, or improved cognitive ability and memory.³⁻⁴
Magnesium without the catch
One form of magnesium offers a solution to this challenge. In 2010, researchers combined magnesium with threonate to develop a new compound form: magnesium L-threonate.³ Its unique structure facilitates the entry of magnesium into the brain, resulting in significantly higher brain bioavailability. In multiple studies, magnesium L-threonate has been shown to effectively enter neurons.⁴⁻⁵
Because both its components are naturally present in the body, magnesium L-threonate – now patented and marketed as Magtein® – is biologically compatible and aligned with normal metabolic pathways.
Magtein is clinically shown to be a brain-bioavailable magnesium health ingredient that is demonstrated to work by crossing the blood-brain barrier and entering neurons.⁴⁻⁶ Magtein’s uniqueness is supported by a broad and robust patent portfolio. Its efficacy is substantiated by a strong clinical research programme, with five double-blind, placebo-controlled clinical studies already published, with additional research underway.
Unlocking high magnesium bioavailability
The key to Magtein’s high bioavailability is that it combines magnesium with threonate – a vitamin C metabolite found naturally in the body. Threonate levels are five times higher in the brain than in the bloodstream, indicating its critical importance for brain health and function.⁴
Threonate enters the brain via glucose transporters, so when combined with magnesium such as Magtein, the magnesium is able to cross the blood-brain barrier and enter neurons.⁴⁻⁵ The result is a 54% increase in threonate in cerebrospinal fluid (CSF) and a 15% increase in magnesium.³⁻⁴ These are optimal levels, known to support healthy brain structure and function, which Magtein uniquely achieves, going beyond what is typically seen with standard magnesium forms.
Turning back the brain’s clock
The brain is made up of trillions of synapses – connectors that enable communication between neurons. With age, the brain’s efficiency diminishes due to neuron loss and reductions in synapse density and plasticity.⁷ However, in a 2016 clinical study, Magtein was shown to restore ageing brains to a more youthful state.⁸
The study evaluated Magtein’s impact on healthy adults aged 50 to 70 with self-reported memory and concentration complaints. Participants supplementing with Magtein had significantly higher magnesium levels within the healthy range compared with placebo, indicating effective systemic magnesium delivery. Furthermore, they demonstrated enhanced overall cognitive ability, shown by a combined score from tests for executive function, working memory capacity, episodic memory and attention.
Magtein supplementation also resulted in a 57.6% reduction in cognitive ability fluctuation, an early indicator of cognitive impairment. Additionally, there was a 20% improvement from baseline in a cognitive response time test. Such improvements, the researchers said, were equivalent to turning back the brain’s clock by nine years.

Improvements in memory and cognition
Memories are created, organised and stored in the hippocampus.⁹ Preclinical research has found that Magtein increases synaptic density in neurons in this region of the brain, with subsequent improvements in learning and memory.³⁻⁴
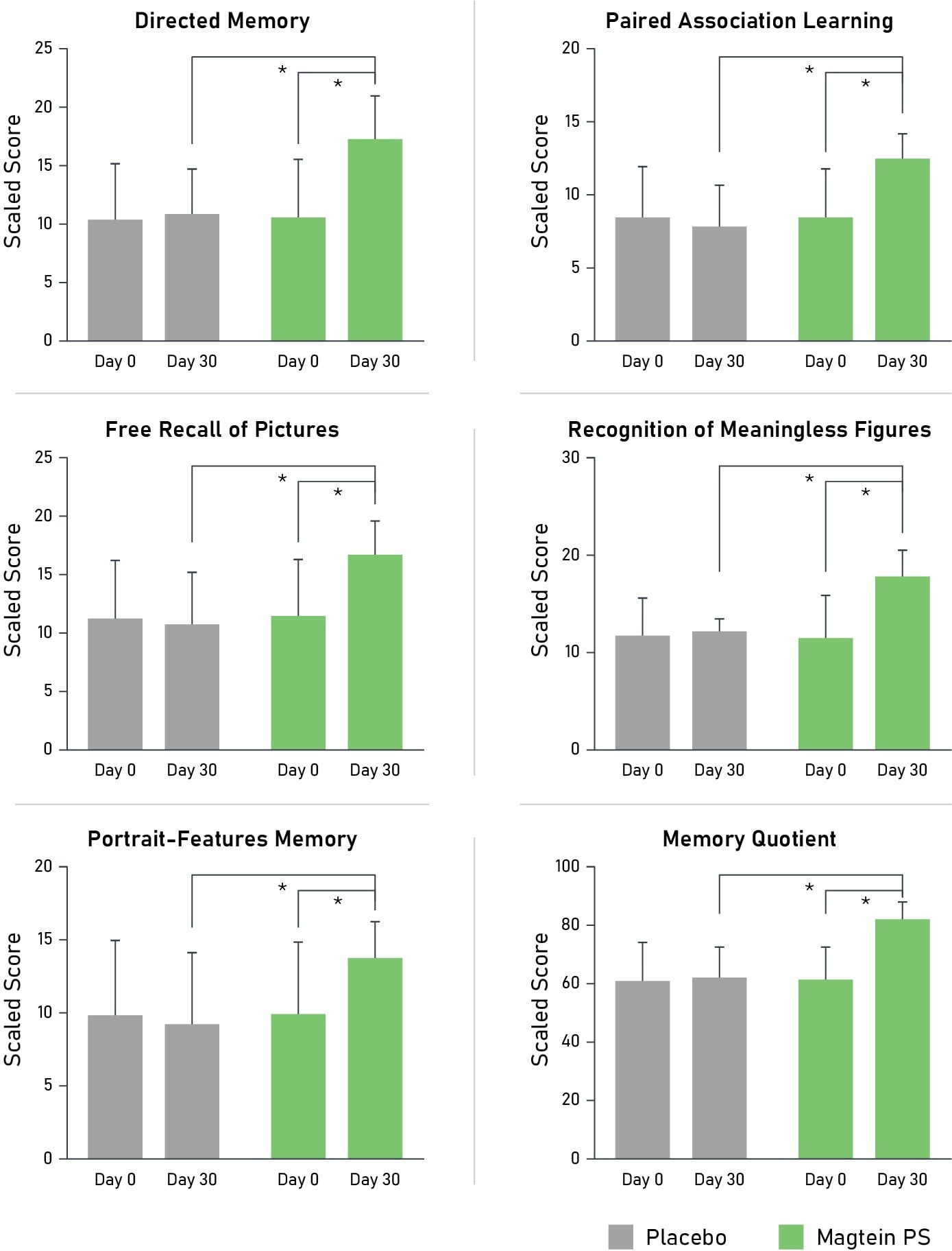
A 2022 clinical study explored the effects of supplementation with a formula containing Magtein and phosphatidylserine, a key component of cell membranes which is especially abundant in the brain.¹⁰ Healthy adults took the Magtein formula or a placebo and completed a standard cognitive-evaluation test at baseline and again after 30 days. Significant improvements were seen with the Magtein formula across all cognitive domains tested. Interestingly, the older the participants were, the greater the improvements.

In the most recent clinical trial, Magtein supplementation significantly improved cognitive performance, with measurable benefits across multiple domains, including working and episodic memory.¹¹ These improvements were observed in a randomised, double-blind, placebo-controlled trial, further supporting Magtein’s role in promoting memory and healthy cognitive ageing.
Better sleep and mood
Poor sleep quality affects 40% of adults aged 60 and over.¹² Magnesium plays a fundamental role in sleep regulation by influencing processes supporting synaptic balance and promoting restorative, slow-wave sleep.¹³ Additionally, it regulates circadian rhythms and supports cellular timekeeping – both essential for maintaining healthy brain activity and sleep.¹⁴
A 2024 study found Magtein supplementation significantly enhanced sleep quality, particularly the deep and REM sleep phases, with subjects spending less time in light sleep and more in restorative deep sleep.¹⁵
In a 2026 clinical trial, Magtein intake significantly improved sleep-related impairment scores compared with placebo (p<0.05), with the greatest benefits observed in participants with poorer baseline sleep.¹⁶ It also improved physiological markers of nighttime recovery, including lower resting heart rate and increased heart-rate variability.
Additionally, the 2024 study evaluated Magtein’s impact on emotional regulation.¹⁵ After three weeks of supplementation, participants reported significantly improved subjective mood parameters, with differences reported between days 7 and 14.
Support for learning and memory
Brain-derived neurotrophic factor (BDNF) is a protein that drives neuron growth, survival and synaptic plasticity – the foundation of learning and memory. In a 2010 animal study, oral Magtein raised CSF magnesium levels, leading to higher hippocampal BDNF (p<0.05) and improved memory and learning.³ A 2025 study further confirmed Magtein’s ability to enhance hippocampal BDNF and reduce amyloid-β accumulation under hypothyroid conditions.⁶
Higher BDNF levels are consistently associated with better cognitive performance, improved mood regulation and greater protection against age-related decline, making it a central marker of long-term brain health.⁷,¹⁶ By boosting BDNF expression, Magtein strengthens synaptic connections, promotes neuroplasticity and supports healthy cognitive ageing.
Threonate’s causal role in cognitive health
Emerging human genetic data adds an independent layer of scientific confidence. A 2025 gold-standard Mendelian randomisation study used human genetic data to examine whether CSF metabolites actively drive cognition rather than simply reflect brain health. Across more than 250,000 individuals, genetic signals linked to 338 CSF metabolites were tested against brain function and cognition.¹⁷
Threonate was one of the most robust metabolites, with clear causal effects on cognitive function. Higher genetically predicted CSF threonate levels were directly associated with better overall cognitive performance and fluid intelligence, with no evidence of reverse causation. This is particularly meaningful given that threonate is naturally enriched in the brain at approximately five-fold higher concentrations than in the bloodstream.4 Magtein is specifically designed to elevate brain threonate to optimal levels.3
These findings provide independent human genetic confirmation that Magtein is biologically and causally aligned with pathways supporting brain cognitive performance. Combined with the clinical studies, it shows that Magtein has beneficial effects on brain health when taken as a supplement and presents causal (genetic) evidence for why threonate works in the brain. This provides enhanced support that threonate in Magtein reaches the brain and can be a true biological driver of cognitive performance, rather than just an associated marker.
A rapidly expanding body of evidence
Over the past decade, Magtein has become one of the most extensively researched forms of magnesium, expanding understanding of its benefits in areas like cognitive ageing, stress resilience and sleep. The most recent clinical trial confirms these benefits extend to younger adults as well as older populations.16
It also indicates positive outcomes for physiological markers of neurological and heart health, including improved heart-rate variability, which has been demonstrated for the first time. Together, these studies support Magtein as one of the best-characterised magnesium supplements for cognitive and brain-related outcomes.

A safe, smart brain-health solution
In November 2024, Magtein earned Novel Food status in Europe, where it is available exclusively through ThreoTech LLC. Magtein can therefore be used in products bearing authorised EU magnesium health claims. In the US, Magtein has had FDA Generally Recognized As Safe (GRAS) approval since 2012, and it’s also approved as safe for use in consumer products in Canada, Japan, Turkey, India and Thailand.
Stable, tasteless, odourless, colourless and water-soluble, Magtein is suitable for use in a wide range of applications – not just capsules or tablets but also gels, powders and liquid concentrates. Its rapid, high absorption rate means Magtein is less likely to cause the digestive problems common in some other less well-absorbed magnesium compounds. It’s also certified kosher and halal and is allergen-free, maximising its appeal among Europe’s diverse consumer demographics.
Demand for effective solutions supporting cognitive ageing, energy, memory, mood, sleep, stress resilience and alertness has never been higher. The robust science backing Magtein demonstrates its ability to meet these needs, helping manufacturers create magnesium products that genuinely deliver on their promises.
References
- Ipsos. Consumer Survey on Food Supplements in the EU, 2022 (survey based on 13,249 interviews in 14 EU Member States).
- Industry Transparency Center. ITC Consumer Supplement Survey.
- Slutsky, I.; et al. Enhancement of learning and memory by elevating brain magnesium. Neuron. 2010 Jan 28;65(2):165-77.
- Sun, Q.; et al. Regulation of structural and functional synapse density by L-threonate through modulation of intraneural magnesium concentration. Neuropharmacology. 2016 Sep;108:426–439.
- Zhou, H.; et al. Intracellular magnesium optimizes transmission efficiency and plasticity of hippocampal synapses by reconfiguring their connectivity. Nat Commun. 2024;15:3406.
- Zhou, H.; et al. Regulation of density of functional presynaptic terminals by local energy supply. Mol Brain. 2015 Jul 17;8:42.
- Navakkode, S.; et al. Neural ageing and synaptic plasticity: prioritizing brain health in healthy longevity. Front Aging Neurosci. 2024 Aug 5;16:1428244.
- Liu, G.; et al. Efficacy and safety of MMFS-01, a synapse density enhancer, for treating cognitive impairment in older adults: a randomized, double-blind, placebo-controlled trial. J Alzheimers Dis. 2016;49:971–990.
- Fortin, NJ.; et al. Critical role of the hippocampus in memory for sequences of events. Nat Neurosci. 2002 May;5(5):458–62.
- Zhang, C.; et al. A Magtein®, magnesium l-threonate, -based formula improves brain cognitive functions in healthy Chinese adults. Nutrients. 2022;14(24):5235.
- Lopresti, AL.; et al. The effects of magnesium L threonate (Magtein®) on cognitive performance and sleep quality in adults: a randomised, double blind, placebo controlled trial. Front Nutr. 2025;12:1729164.
- Canever, JB.; et al. Worldwide prevalence of sleep problems in community-dwelling old adults: a systematic review and meta-analysis. Sleep Med. 2024;119:118-134.
- Maier, JAM.; et al. Magnesium and the brain: a focus on neuroinflammation and neurodegeneration. Int J Mol Sci. 2023;24:223.
- Feeney, K.; et al. Daily magnesium fluxes regulate cellular timekeeping and energy balance. Nature. 2016;532:375–379.
- Hausenblas, HA.; et al. Magnesium-L-threonate improves sleep quality and daytime functioning in adults with self-reported sleep problems: a randomized controlled trial. Sleep Med X. 2024 Aug 17;8:100121.
- Molinari, C.; et al. The role of BDNF on aging-modulation markers. Brain Sci. 2020;10(5):285.
- Liu, Q.; et al. Exploring cerebrospinal fluid metabolites, cognitive function, and brain atrophy: insights from Mendelian randomization. Open Med (Wars). 2025 Aug 4;20(1):20251237.




